tech

tech

Research on PFC3D meso-parameters prediction model and strength simulation of backfill based on hemical-mechanical coupling - Scientific Reports

Nature

By:

Dec 9, 2025

Research on PFC3D meso-parameters prediction model and strength simulation of backfill based on hemical-mechanical coupling - Scientific Reports

Photo by:

US Swimmer Smashes World Record in 2024 Olympics Photo by: US Swimmer Smashes World Record in 2024 Olympics

Nature

In summary, this study utilizes the parallel bond contact model in PFC3D to calibrate meso-parameters, with the aim of establishing a mathematical correlation among hydration degree, macroscopic mechanical properties, and meso-parameters. This ultimately facilitates the construction of a chemical-mechanical coupling prediction model for the mesoscopic parameters of backfill materials. The predictive model enables the rapid construction of numerical models for the backfill under different ratios and curing ages, ensuring alignment with existing experimental data on uniaxial and biaxial loading strengths. The model's reliability is subsequently verified. Finally, based on the lithological conditions of the actual project, the minimum required strength of the filling body for the one-step goaf following the two-step excavation process is determined through numerical simulation. This study contributes to the theoretical understanding of backfill mechanical properties and holds practical significance for enhancing the understanding of backfill property evolution, as well as achieving cost reduction and efficiency improvements in mine filling operations.

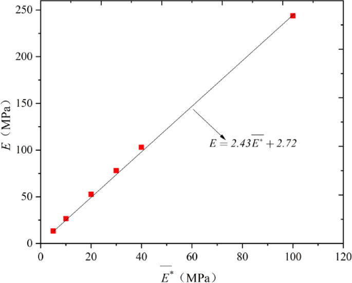
As cement undergoes hydration within the backfill material, its mechanical properties -- including elastic modulus, Poisson's ratio, and compressive strength -- exhibit time-dependent evolution with progressing hydration degree. Consequently, parameters obtained through "trial-and-error method" fail to quantitatively describe the intrinsic meso-macro relationships, limiting their predictive capacity for mechanical behavior under advanced hydration stages. Therefore, it is essential to establish a correlation between hydration degree and macroscopic mechanical properties. Subsequently, the interdependence between macroscopic mechanical response and meso-scale parameters must be integrated to develop a chemo-mechanically coupling prediction model for PFC meso-parameters. The mechanical properties formulas and model paramet

Share this article

Related Articles

Related Articles

Related Articles

Podcast

Dive into our Top 5 selection of the best podcasts, featuring everything from latest tech to trending tunes. Press the play button now!

Tech Tomorrow

Stay ahead of the curve with the latest advancements in technology. From AI breakthroughs to the future of space exploration, each episode delves into cutting-edge innovations and what they mean for our world. Whether you’re a tech enthusiast or just curious, this podcast brings you tomorrow’s tech, today.

Culture Connect

Explore the rich tapestry of global cultures in this podcast that takes you on a journey across continents. Each episode features in-depth interviews with cultural experts, artists, and anthropologists, shedding light on the traditions, languages, and art forms that define communities worldwide.

The Green Voices

Tune into the most pressing environmental issues of our time. From climate change to conservation efforts, this podcast features conversations with activists, scientists, and policymakers who are at the forefront of the environmental movement. Learn what you can do to make a difference.

Podcast

Dive into our Top 5 selection of the best podcasts, featuring everything from latest tech to trending tunes. Press the play button now!

Tech Tomorrow

Stay ahead of the curve with the latest advancements in technology. From AI breakthroughs to the future of space exploration, each episode delves into cutting-edge innovations and what they mean for our world. Whether you’re a tech enthusiast or just curious, this podcast brings you tomorrow’s tech, today.

Culture Connect

Explore the rich tapestry of global cultures in this podcast that takes you on a journey across continents. Each episode features in-depth interviews with cultural experts, artists, and anthropologists, shedding light on the traditions, languages, and art forms that define communities worldwide.

The Green Voices

Tune into the most pressing environmental issues of our time. From climate change to conservation efforts, this podcast features conversations with activists, scientists, and policymakers who are at the forefront of the environmental movement. Learn what you can do to make a difference.

Podcast

Dive into our Top 5 selection of the best podcasts, featuring everything from latest tech to trending tunes. Press the play button now!

Tech Tomorrow

Stay ahead of the curve with the latest advancements in technology. From AI breakthroughs to the future of space exploration, each episode delves into cutting-edge innovations and what they mean for our world. Whether you’re a tech enthusiast or just curious, this podcast brings you tomorrow’s tech, today.

Culture Connect

Explore the rich tapestry of global cultures in this podcast that takes you on a journey across continents. Each episode features in-depth interviews with cultural experts, artists, and anthropologists, shedding light on the traditions, languages, and art forms that define communities worldwide.

The Green Voices

Tune into the most pressing environmental issues of our time. From climate change to conservation efforts, this podcast features conversations with activists, scientists, and policymakers who are at the forefront of the environmental movement. Learn what you can do to make a difference.